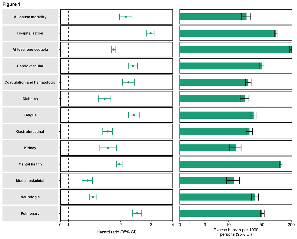
2022年7月28日 covid19_info COVID-19の再感染リスク www.researchsquare.com 査読前論文。 再感染をすると、1回目の感染に比較して死亡は2.14倍、入院は2.98倍、ロングコビッドは1.82倍高い(いずれもハザード比)。 全死亡の過剰負担は6カ月時点で1000人当たり23.8人(95%CI:18.9、29.2)と高い。