- Perlis, R. H., Santillana, M., Ognyanova, K., & Lazer, D. (2023). Correlates of symptomatic remission among individuals with post-COVID-19 condition. medRxiv. doi:10.1101/2023.01.31.23285246. https://www.medrxiv.org/content/10.1101/2023.01.31.23285246v1.
medRxiv*サーバーで公開された最近の研究で、研究者は、Post-coronavirus disease 2019(COVID-19)状態(PCC)またはロングCOVIDの寛解に寄与する社会人口学的要因について調査している。さらに、COVID-19のすべての症状から完全に回復したと定義されるPCC寛解率を数値化した。
研究者らは、世界保健機関(WHO)の記載に基づき、重症急性呼吸器症候群コロナウイルス2型(SARS–CoV-2)の初回検査陽性から2カ月後にCOVID-19症状を経験したと自己申告した人を対象にPCC寛解率評価を行った。現在までのところ、PCCを特徴づける研究やその寛解の見通しに関する研究はまだ不足している。
本研究について
本研究では、研究者はインターネット調査「COVID States Project」のデータを用い、2020年8月から2022年11月にかけて、アメリカ合衆国の50州において、4~8週間ごとにCOVID-19の状況について人々に問い合わせを行った。COVID-19パンデミックのすべての波を通じて、COVID-19陽性の検査結果を得た調査回答者は、COVID-19の症状に関するチェックリストに回答するよう求められた。調査回答者は、過去2週間の間に症状が日常生活にどの程度支障をきたしたかを評価しました。また、参加者の年齢、性別、郵便番号、人種、民族に関する情報も収集した。
また、SARS–CoV-2初感染前のワクチン接種状況も調査した。そして、プライマリーシリーズのワクチン接種月とCOVID-19の最初の報告月が比較された。鳥インフルエンザデータ共有に関するグローバルイニシアチブ(GISAID)データベースの共変量解析により、感染時の優勢なCOVID-19の変種を特定した。
PCCを自己申告した最初の調査をindex visitとした。生存時間分析を用いて、さまざまなフォローアップ間隔を考慮した。
研究者らは、Cox回帰モデルを用いて、社会人口学的特徴とPCC寛解との相関も検討した。また、研究結果を可視化するためにKaplan-Meier生存曲線も作成した。
研究結果
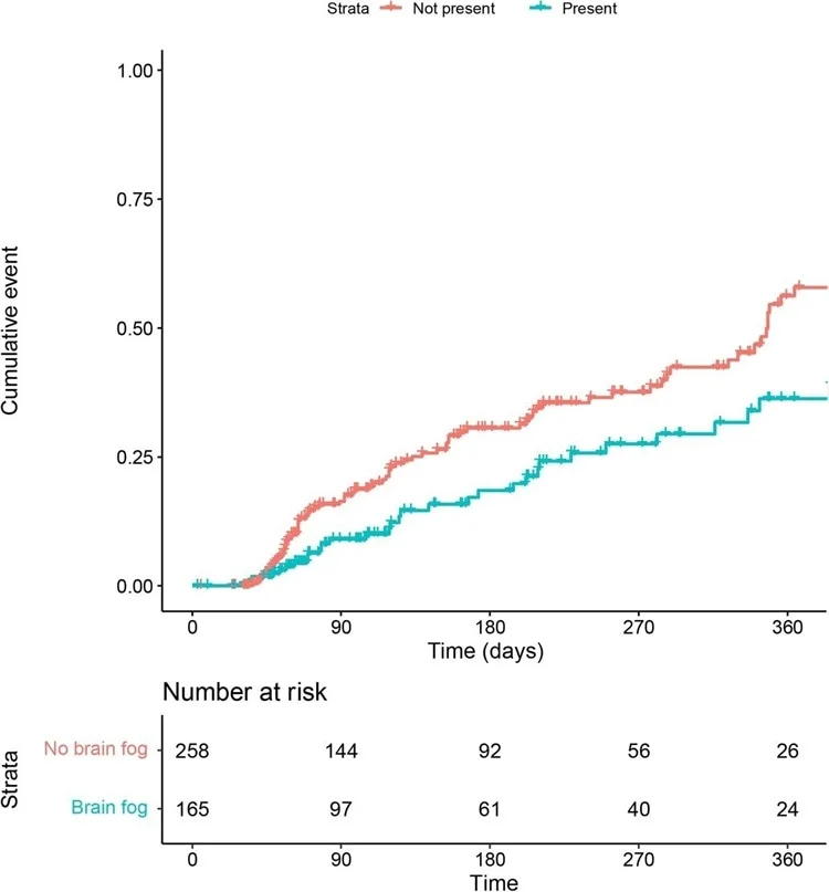
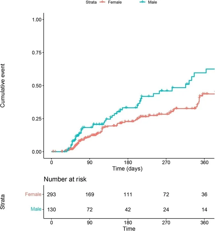
最初にPCCと報告し、その後少なくとも1回の調査に回答した人の31%以上が、後に症状のあるPCC寛解を記述していた。男性の性別、初回調査時の症状の軽さ、若年齢、オミクロン感染の4つの要因が、PCCからの回復を報告する可能性を高めていた。また、フォグや息切れを経験した人は、PCC寛解を報告する傾向が強かった。

調査回答者のうち、男性であると回答した人と女性であると回答した人の寛解までの時間を調べたKaplan-Meier生存曲線。

初回調査時の「ブレインフォグ」の有無とその後の寛解の可能性との関連を調べたKaplan-Meier生存曲線
このデータは、一部のPCC患者において、長期にわたる免疫調節障害と炎症性反応があることを示唆している。
広範な調査にもかかわらず、科学者はPCCを支配する病態生理を完全に理解していない。この現象のメカニズムが理解されていないことは、その有病率が増加し、衰弱が認識されているにもかかわらず、PCC治療戦略に反映させるための大きな課題となっている。
結論
本研究は、COVID-19の慢性化の危険因子でもあるPCC危険因子を特定することにより、既存の科学文献を追加するものである。それにもかかわらず、研究参加者のかなりの割合がPCC自然寛解を報告しており、この症候群を治療し寛解率を最大化するための治療法を開発することの切実な必要性を強調している。PCCの潜在的な副作用については、最近になってようやく説明され始めたところだ。しかし、この症候群が世界中で何百万人もの人々に影響を及ぼす可能性があることを考慮すると、PCC寛解を自然に経験する可能性が最も低い人たちを特定することが極めて重要だ。
今回の研究結果は、PCC発症のリスクが最も高い患者を特定し、新規の治療法の効果を最大限に高めることにつながる可能性がある。また、どのような症状がより悪いPCC転帰を予測するかについての現在の理解を深めることは、PCCを支配する基本的なプロセスについての重要な洞察をもたらすかもしれない。
